就业工作

当前您的位置: 首页 >> 招生就业 >> 就业工作 >> 正文

【招聘】新乡市平原示范区招聘中小学幼儿园教师【12月25日-27日】

时间:2019-12-24

新乡市平原示范区位于黄河北岸,紧邻郑州都市区,是郑州都市圈核心地区的重要组成部分,是新乡与郑州实现无缝对接的重要节点,也是郑州向北经济辐射带动发展的桥头堡。为推动示范区教育事业均衡发展,进一步优化教师队伍结构,决定面向社会公开招聘政府购买服务教师,现将有关事项公告如下:

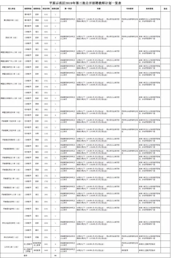
  一、招聘计划及相关内容

  本次招聘计划名额共56名。其中:中小学教师44名,幼儿园教师12名。具体招聘计划及要求见《平原示范区2019年第三批公开招聘教师计划一览表》(附件)。

上一条:【招聘】河南省义马市融媒体中心招聘16名工作人员【12月28日-30日】 下一条:【招聘】洛阳市文化广电和旅游局招聘工作人员【12月25日截止】

关闭

地址:中国·河南·郑州市郑上路548号

邮政编码:450042

九游·体育(中国)官方网站版权所有